体味事理就很轻易理解,搜索引擎借助蜘蛛在互联网这张年夜网中搜寻“猎物”,它独一所能依据的线索就是链接了,找到新的链接后,按照复杂的算法最终对网 站进行排名,储存在数据库中。良多网站可能会因为网站结构杂乱失踪去蜘蛛到访的机缘,然而蜘蛛不访谒网站的身分有良多,下面我们一路总结一下:
图片、flash等内容过多
网站死链接过多
网站代码复杂
我们可以想象,蜘蛛兴致勃勃的来到你的网站,起头逐个链接的搜寻,觉得发现了一堆好的内容,然而却是一堆打不开的链接等着她,一次、两次、三次,每次 来都是这种情形,所以她生气了,就再也不会访谒你的页面了。年夜部门的网站都存在死链接,只要我们能够实时的发现并断根失踪就没有问题了,你可以操作强年夜的 xenu,也可以查看你的网站日志,发现返回404状况码的一律断根。
良多站长都有查看网站日志的习惯,这么做的首要目的就是为了剖析蜘蛛爬行网站的情形,当然其中年夜都站长也只是简单的体味一下当天蜘蛛爬行的次数,这一 点就足够发现问题了。有时辰,我们会感受自己的网站已经相当完美了,而正常优化过程中,蜘蛛却对此不伤风,让人很是焦心。

上图是用xenu扫描网站时的界面。

网站地图错误
外聊暌闺nofollow
之所以蜘蛛能够成功的找加入访谒你的站点,是因为其他网站上存在你网站的链接。想要蜘蛛更频仍的惠临,在成立外链时就应该考虑外链网站权重,收录数越 年夜、PR质ё俳高,快照更新越快的网站权重就越高。此外有些无良站长在做友情链接时,会有意设置nofollow,这样的外链在蜘蛛眼里形同虚设,如不美观你网站的外聊暌剐这种现象,请实时撤消。
不得不说,搜索引擎成长到此刻,已经斗劲的智能化了,去年google就推出了图片搜索功能,能够剖析图片的色彩、像素比例而找到图片的出处。然而这 项手艺对于搜索引擎完全的识别图片中的信息还有不小的差距,而良多站长或是不懂得seo,或是考虑网站美不美观和内容丰硕,往往会在页面中嵌入年夜量高清 图片、flash,即使你的网站内容再好,蜘蛛也无法知道,只能绕道而行了。此刻收集上有良多模拟蜘蛛抓取的工具,有近似情形的网站站长可以发芽一下自己 网站的信息,看看蜘蛛能够发现的信息和人眼看到的有多年夜差距。

网站培植中,代码优化很是主要,冗长代码对网站无任何意义,而且还会影响打开速度和搜索引擎蜘蛛的判定。
网站地图是搜索引擎周全熟悉网站的好工具,对于蜘蛛而言,网站地图就像混名册,好的网站地图能让蜘蛛很有指向性的访谒网站中的任何页面。所以,我们在 建造网站地图时就需要谨严行事了。收集上也有良多建造网站地图的工具,为了确保万无一失踪,巨匠也可以作为访客进行访谒来加以验证。
网站逻辑结构复杂
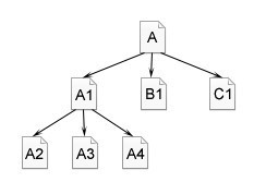
正确的网站逻辑结构应该是扁平状的树形结构,也就是说,蜘蛛经由过程首页访谒,能够达到任何一个栏目页,经由过程栏目页又能达到任何一个内容页,这个次数应该被限制在3次以内(较年夜的网站可以多几层)。如不美观网站条理太多,网站权重又不够高,蜘蛛就没有乐趣去一层层的搜寻了。




粤公网安备44010502000280号
公众号二维码
小程序二维码
